BloG
Welcome to the EOS/Alien Earths team's Blog where we share the research results we are most excited about.Radiating Bondi Flows I: Dimensionless Framework and Constant Opacity Solutions
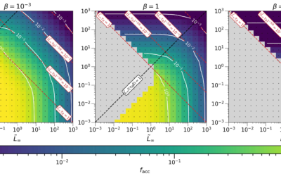
Avery Bailey, Andrew Youdin, Kaitlin Kratter Astro-ph: arXiv:2603.20373 In this paper, we extend the foundational work of Bondi (1952) to include the effects of radiative feedback in gas-pressure-dominated environments. We construct steady-state spherically symmetric...
The JWST Cool Star Spectral Library selected for General Observer Time
Overlap of quiescent K and M dwarfs (red stars) with transiting exoplanet hosts (black dots) in stellar Teff and metallicity space. The range of targets selected for this proposal (blue circled red stars) allows for broad expansion and testing of model atmospheres in...
March 2026 Newsletter
February 2026 Newsletter
Alien Earths Breakfasts are Back!
After an almost 2-year pause due to the pandemic, we restarted our in-person AE Breakfasts. It has been really wonderful to be able to chat face to face about all the cool science!
Images of a Massive Planetary System in Formation
Protoplanetary disks offer an opportunity to learn about the processes by which planetary systems form and evolve. Images of these young systems also enable us to study, by analogy, the formation of our own Solar System, in which the common orbital plane of the...
The Genesis Database
The key goal of EOS is to advance our understanding of the formation of habitable planets. As an unusually large and ambitious program, EOS is in a rare position to successfully integrate interdisciplinary knowledge on planet formation – that is, to combine...
The Origins Seminars on YouTube!
The Origins Seminar now has its own YouTube channel and the most recent talks are now available! Origins will continue to operate through most of the Summer and talks will be recorded and available through the Origins Seminar YouTube channel.
Clues to the Processing of Dust Around Stars
Research by University of Arizona Assistant Professor Pierre Haenecour and his team on the effect of ion irradiation on dust grains in circumstellar and interstellar environments, presented by Haenecour at Microscopy and MicroAnalysis 2019, has been...
Unknown Treasure Trove of Planets Found Hiding in Dust
The first unbiased survey of protoplanetary disks surrounding young stars in the Taurus star-forming region turned up a higher-than-expected number of disks with features suggesting nascent planets. Excerpt from UA News-Daniel Stolte, University Communications...
The Search for Planet 9 – TEDx Talk by Renu Malhotra
Renu Malhotra – LPL Professor and EOS Team Member – has recently given an excellent TEDx talk on the Search for Planet 9. The talk is now available online - check it out! https://www.youtube.com/watch?v=MptrypvBTag
The Optical Spectrum of a Sub-Neptune: Or, When Stars Get in the Way
Optical spectra of transiting exoplanets can place unique constraints on their atmospheres–provided their stars cooperate.









